Zivilrecht
Leitfaden für Studieninteressierte und Erstis
Leitfaden für Studieninteressierte und Erstis
Verfügbarkeit für Abholungen konnte nicht geladen werden
Leitfaden für Studieninteressierte und Erstsemester im Jurastudium
Dieser 67-seitige Leitfaden ist der ideale Begleiter für alle, die Jura studieren möchten oder gerade als Ersti starten. Er beantwortet die wichtigsten Fragen rund um Eignung, Bewerbung, Finanzierung und Studienstart – und spart dir so wertvolle Zeit, Nerven und Umwege. Statt mühsam Informationen aus verschiedenen Quellen zusammenzutragen, bekommst du hier alles kompakt, verständlich und praxisnah aufbereitet.
Das erwartet dich:
-
Passt Jura zu mir? Selbstcheck: Interessen, Fähigkeiten und persönliche Eigenschaften, die für ein erfolgreiches Jurastudium entscheidend sind.
-
Zugangsvoraussetzungen: Abitur, NC, Auswahlverfahren, Sprachkenntnisse und Besonderheiten für internationale Bewerber – verständlich erklärt.
-
Bewerbung über Hochschulstart: Schritt-für-Schritt-Anleitung vom Online-Portal bis zur Immatrikulation.
-
Organisation nach der Zulassung: Krankenkasse, Semesterbeitrag, Studentenkarte, Wohnungssuche – alle wichtigen To-dos im Überblick.
-
BAföG und Finanzierung: Wie du deine Förderung sicher beantragen kannst.
-
Erstiwoche meistern: Orientierung, Fachschaftsangebote, Kontakte knüpfen und die besten Tipps für einen erfolgreichen Start.
-
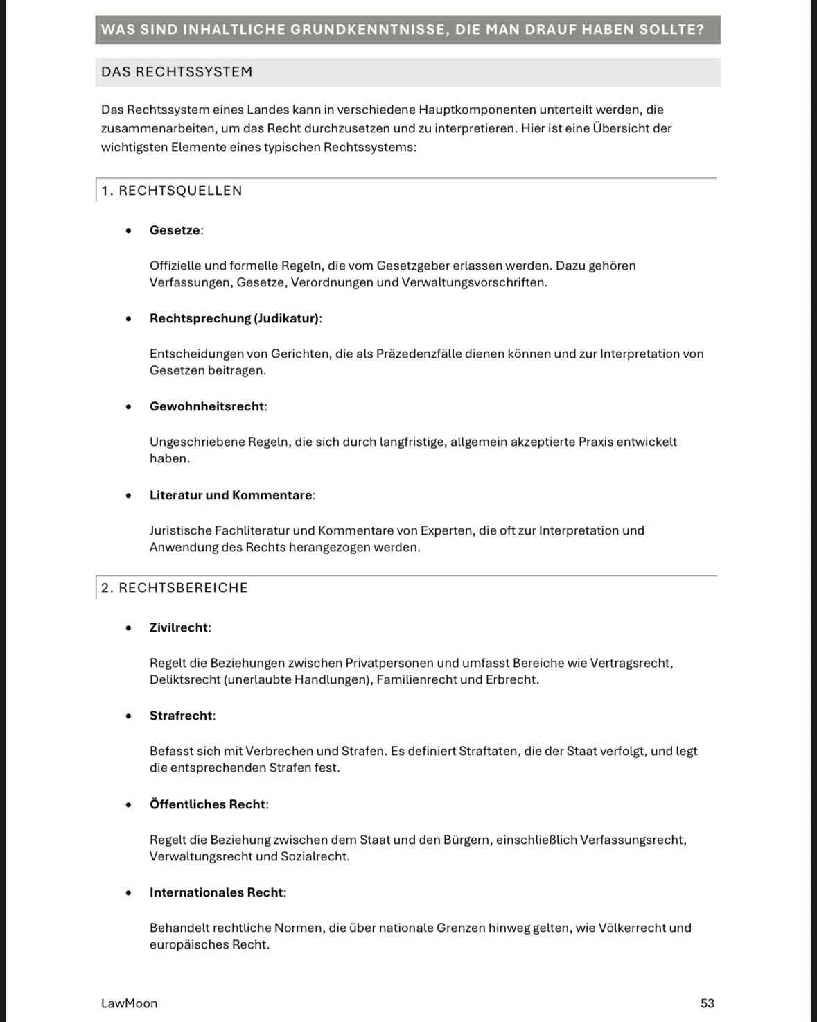
Juristische Grundlagen: Ein kompakter Überblick über Zivilrecht, Strafrecht, Öffentliches Recht und das deutsche Gerichtssystem.
-
Praktische Erfahrungen: Praktika, Nebenjobs und Netzwerke – wie du dir schon früh Vorteile im Studium und für deine Karriere sicherst.
-
Berufsperspektiven: Von Richter und Anwalt bis hin zu internationalen Organisationen oder Compliance – entdecke die Vielfalt der juristischen Karrierewege.
Warum dieser Leitfaden?
-
Du sparst dir stundenlange Recherche und erhältst alle relevanten Infos an einem Ort.
-
Du gewinnst Klarheit, ob Jura wirklich zu dir passt – bevor du dich einschreibst.
-
Du startest bestens vorbereitet ins Studium und vermeidest typische Anfängerfehler.
-
Du bekommst Insider-Tipps, die dir niemand an der Uni von Anfang an verrät.
Fazit:
Dieser Leitfaden ist mehr als ein Ratgeber – er ist dein persönlicher Kompass für den Weg ins Jurastudium. Klar strukturiert, praxisnah und sofort umsetzbar. Perfekt für alle, die den Studienstart nicht dem Zufall überlassen wollen.
📦 Versandbedingungen
Der Versand ist kostenlos! 🎉
Und das Beste: Du musst nicht warten!
Direkt nach deinem Kauf bekommst du eine E-Mail mit deinem persönlichen Download-Link. Mit nur einem Klick kannst du dein Skript oder deine Skripte sofort herunterladen 📥 – schnell, unkompliziert und startklar fürs Lernen. 📚✨
Share
